英国365上市公司简介
公司现有教职工77人,其中专任教师67人;教授13人,副教授28人;具有博士学位的教师26人,硕士学位的教师25人;博导6人、硕导28人;省学术与技术带头人1人,省学术与技术带头人后备人选1人;四川省优秀教师1人,四川省师德标兵1人,校教学名师1人,留学美国、德国、加拿大、日本、新加坡等国教师14人。目前,公司拥有生物资源化学二级学科博士和硕士学位授权点;参与共建生物医药专业硕士学位授权点;公司拥有化员工物学、应用化学、应用物理学、信息与计算科学4个本科专业,有在校全日制研究生和本专科生1680人,其中博士、硕士研究生84人。公司坚持公司以“员工为本、学术为天、学科为纲、学者为上”的办学理念,求实创新,开拓进取,全面发展,注重提高公司产品质量,加强科学研究与对外交流,为员工成长成才搭建更好的平台。
招生专业
层次 |
招生专业 |
方向 |
导师 |
博士 |
0710Z1 生物资源化学 |
1、生物资源化学评价 2、生物活性成分与功能 3、生物基化学品开发与利用 |
张 利 饶含兵 赵茂俊 张云松 黄乾明 王显祥 |
硕士 |
0710Z1 生物资源化学 (学术学位) |
1、生物资源化学评价 2、生物活性成分与功能 3、生物基化学品开发与利用 |
张 利 赵茂俊 黄乾明 王显祥 饶含兵 陈华萍 邹 平 张云松 甄 铧 乐贵洲 王广途 李云春 王妍媖 赵小庆 孙萌萌 姜媛媛 |
086000 生物与医药 (专业学位) |
生物材料与化学制药工程 |
博士生导师
招生专业0710Z1 生物资源化学 |
姓名 |
学位 |
职称 |
研究方向 |
电子邮件 |
赵茂俊 |
博士 |
教授 |
1.生物活性成分与功能研究;2.新型纳米生物材料的制备及在生物、能源领域中的应用 |
zhaomaojunls@163.com |
黄乾明 |
博士 |
教授 |
1.微生物酶资源的开发与利用;2.植物次生代谢产物的开发与利用 |
hqming@sicau.edu.cn |
张利 |
博士 |
教授 |
1.种质资源的评价与创新;2.生物活性成分与功能;3. 生物基化学品开发与利用 |
zhangli@sicau.edu.cn |
王显祥 |
博士 |
教授 |
1.纳米生物分析;2.生物基化学品开发与利用 |
xianxiangwang@hotmail.com |
张云松 |
博士 |
教授 |
1.新型纳米生物传感器;2.纳米生物材料在新能源和环境领域的应用;3.生物基化学品开发和利用 |
yaanyunsong@126.com |
饶含兵 |
博士 |
教授 |
1.纳米生物分析;2.生物基化学品开发与利用 |
rhb@sicau.edu.cn |
硕士生导师
招生专业0710Z1 生物资源化学 |
姓名 |
学位 |
职称 |
研究方向 |
电子邮件 |
黄乾明 |
博士 |
教授 |
1微生物酶资源的开发与利用;2.植物次生代谢产物的开发与利用 |
hqming@sicau.edu.cn |
赵茂俊 |
博士 |
教授 |
1.生物活性成分与功能研究;2.新型纳米生物材料的制备及在生物、能源领域中的应用 |
zhaomaojunls@163.com |
张利 |
博士 |
教授 |
1.种质资源的评价与创新;2.生物活性成分与功能;3. 生物基化学品开发与利用 |
zhangli@sicau.edu.cn |
乐贵洲 |
博士 |
副教授 |
1.有机合成方法学研究;2.天然产物的合成 |
yueguizhou@sicau.edu.cn |
李云春 |
博士 |
副教授 |
1.大气细颗粒物(PM2.5)污染研究;2.生物基化学品开发与利用 |
yunchunli@sicau.edu.cn |
王妍媖 |
博士 |
副教授 |
1.纳米生物材料的合成及应用;2.生物基化学品开发与利用 |
wangyy@sicau.edu.cn |
陈华萍 |
博士 |
教授 |
1.微生物酶资源的开发与利用;2.植物次生代谢产物的开发与利用 |
chp666@aliyun.com |
王显祥 |
博士 |
教授 |
1.纳米生物分析;2.生物基化学品开发与利用 |
xianxiangwang@hotmail.com |
饶含兵 |
博士 |
教授 |
1.纳米生物分析;2.生物基化学品开发与利用 |
rhb@sicau.edu.cn |
赵小庆 |
博士 |
副教授 |
1.功能配合物;2.配位化合物在生物降解方面的应用 |
zhaoxiaoqing@sicau.edu.cn |
张云松 |
博士 |
教授 |
1.新型纳米生物传感器;2.纳米生物材料在新能源和环境领域的应用;3.生物基化学品开发和利用 |
yaanyunsong@126.com |
甄铧 |
学士 |
教授 |
1.天然产物化学;2.植物化学与成分分析; |
zhenhua@sicau.edu.cn |
邹平 |
硕士 |
教授 |
1.功能配位化学;2.活性天然产物合成 |
zouping1971@163.com |
王广途 |
博士 |
副教授 |
1.功能配位化学;2.活性天然产物合成 |
wangguangtu@163.com |
姜媛媛 |
博士 |
讲师 |
1.种质资源的评价与创新;2.生物活性成分与功能 |
yyjiang607@sina.cn |
孙萌萌 |
博士 |
讲师 |
1..纳米生物分析; 2.生物基化学品开发与利用 |
sunmeng14391@163.com |
科学研究
2009年以来,承担国家、省部级及横向合作科研课题41项,获国家发明专利6项、实用新型专利41项、外观设计专利2项;主编、副主编数、理、化国家级和省部级规划教材20余部;在国内外核心学术期刊上发表论文140余篇,其中SCI收录60余篇。
生物资源化学——生物活性成分与功能方向 |
1. 微生物酶资源的开发与利用 |


|
野生产酶(漆酶、脂肪酶、α-淀粉酶和β-甘露糖苷酶等)菌株的分离、纯化、鉴定、产酶条件优化以及酶的分离、纯化和酶学性质研究;酶基因的克隆、序列分析及其在大肠杆菌和酵母表达系统中的高效表达与基因工程菌的构建;采用定点突变和分子进化等现代生物技术改造酶的结构和功能,研究酶的结构与功能的关系,为酶的改良、工业化生产和应用奠定基础。 |
2. 植物次生代谢产物的开发与利用 |


|
广泛调查和收集国内外油橄榄、喜树等植物资源,对其次生代谢产物多酚、黄酮、挥发油、生物碱、皂苷等活性成分进行含量分析、分离纯化、结构鉴定和功能研究;克隆其合成代谢通路中相关酶基因并进行功能鉴定,明晰其主要代谢产物合成途径及其代谢流,鉴定转录因子调控代谢途径生物合成的分子机制,为油橄榄和喜树的品种选育和综合利用奠定基础。 |
3. 药用成分的提取、鉴定与活性研究 |


|
利用正交、响应面等试验设计辅以超声波、微波等技术优化药用植物中有效成分和多糖等的提取工艺。通过色谱、波谱等手段分离、鉴定植物中重要的化学成分和结构,明确植物中具有潜在开发价值的化学资源。对药用成分进行体内和体外活性研究,包括抗癌、抗氧化和毒理等,探讨合理开发的方法和途径,为药用成分向天然药物、保健食品、功能饮料、天然日化用品等生物产品的开发利用奠定基础。 |
生物资源化学——种质资源的评价与创新方向 |


|
以四川道地药材为研究对象,重点开展丹参、白芍、川芎等植物的种质资源收集、保存与鉴定研究。利用蛋白质组学、代谢组学和金属组学等理论技术对种质资源进行评价,通过生物信息学分析明确与品质相关的性状和差异化合物。对具有优异特性的种质资源进行生物学特性、农艺性状、抗逆性和品质等方面的研究,利用优异的种质资源选育药用植物新品系和新品种,并探索配套栽培技术进行区域性的推广示范。利用植物细胞工程手段对优异种质资源进行快繁和细胞培养研究,加快植物繁殖系数、提高目标次生代谢物生物合成效率。 |
生物资源化学——生物基化学品开发和利用方向 |


|
(1)新型纳米生物材料:使用生物质(如酶、抗体、DNA、RNA、蛋白、多糖等)修饰的纳米材料制备生物安全性好、活性高和生物降解性能优异的新型纳米生物功能材料,并应用于生物检测分析、化工、能源、环境和农业等领域;(2)生物能源:以生物质及其衍生物为原料通过生物/化学催化等方式生产制备石油替代油料;(3)生物质改性新材料:通过对生物质进行改性,得到具有特殊生物学功能的新材料,如生物质基高分子材料和生物质基医用材料等;(4)模拟酶:将具有类生物酶功能属性的纳米及其衍生材料(如纳米ZnO、Fe3O4、Co3O4及其生物修饰物等)用于药物分析、食品检验、环境监测、生物催化等领域的模拟酶生物学功能研究。 |
生物物理学——农业生物物理新技术、新方法的应用方向 |
1.多传感技术在农业生产中的应用 |

|
在现代农业生产中,通过应用温湿度、光照、CO2含量、NH3含量,H2S含量等各类传感器,去获得农业生产环境中的各种参数信息,从而掌握和控制温度、湿度、光照、通风、喷灌参数等来完成对农业生产的保障,通过传感技术来更好的完成从农作物的育苗,生长、收获一直到储藏等环节,以及农产品的贮藏、保鲜、加工,还有畜禽的养殖、育种等环节。 |
2. 图像处理技术在农业生产中的应用 |

|
应用现代计算机图像技术,将得到的农业生产实际图像,进行各种特征提取,并完成色域、细化、形态学,分割等处理,对得到的图像面积、颜色、轮廓、角度等参数进行合理的计算并完成识别,在农业生产中作物生长状态、果实成熟度、杂草去除、三维重建等方便进行研究。 |
生物物理学——生物信息学方向 |
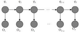
计算生物学中的数学模型及应用
对计算生物学中一些经典的概率统计模型(例如隐马尔可夫模型)的原理及其核心算法作一些理论上的研究,针对生物序列分析中的实际问题,提出一些改进的模型,并将新模型应用于核酸(DNA与RNA)和蛋白质序列的研究。目的是用新模型去表征生物序列中的单个序列或序列类,以其它序列或序列类为背景使用这些模型去识别它们,进而推导出它们的结构和功能。 |
部分研究生毕业去向
姓名 |
年级 |
就业单位或深造公司 |
李文爽 |
2012级 |
中线渠首(南阳)农业发展有限公司 农艺师 |
陈文拴 |
2012级 |
浙江天顺生物科技有限公司 |
吴遵秋 |
2012级 |
贵州医科大学 |
舒曼 |
2012级 |
成都一环境监测公司 |
江晓波 |
2011级 |
四川省德阳市环境监测中心 |
姜媛媛 |
2011级 |
英国365上市公司·Dalhousie University 联合培养博士 |
刘宇 |
2011级 |
瑞典林雪平大学博士联培 |
白晰 |
2011级 |
南京农业大学(攻读博士学位) |
崔波 |
2011级 |
上海恒瑞医药有限公司 |
刘叔洋 |
2011级 |
吉林通化市环境保护局 |
杨鸿玉 |
2011级 |
英国365上市公司 |
张慧 |
2011级 |
绵阳市农业科学研究院 |
王萌 |
2010级 |
四川幼儿师范高等专科公司 |
程子彰 |
2010级 |
英国365上市公司 |
胡容 |
2010级 |
四川迈克生物科技股份有限公司 |
姜友军 |
2010级 |
中储粮成都粮食储藏科学研究所 |
靖德军 |
2010级 |
广东省金叶科技开发有限公司 |
熊亚 |
2010级 |
攀枝花公司 |
刘琪 |
2010级 |
泸州市质量技术监督局 |
许婧 |
2010级 |
武汉华美生物工程有限公司 |
张亮 |
2010级 |
上海伯豪生物技术有限公司/生物芯片上海国家工程研究中心 |
郑飞 |
2010级 |
西昌公司 |
高震 |
2009级 |
比利时根特大学(攻读博士学位) |
冷鹏飞 |
2009级 |
中科院博后 |
李哲 |
2009级 |
焦作华康糖醇科技有限公司 |
马晓真 |
2009级 |
四川简阳中学 |
孙红敏 |
2009级 |
德阳出入境检验检疫局 |
张海惠 |
2008级 |
河南科技公司 |
张希伟 |
2008级 |
德国马格德堡大学读博 |
苟璐璐 |
2008级 |
四川农业大学 |
李珍 |
2008级 |
重庆市云阳县政协 |
刘建云 |
2008级 |
四川万豪企业管理咨询有限公司 |
唐棠 |
2008级 |
四川理工公司 |
徐振杰 |
2008级 |
陕西博盛生物科技有限公司 |
杨群峰 |
2008级 |
山东睿鹰先锋制药有限公司 |
杨在君 |
2008级 |
西华师范大学 |
邓婷 |
2007级 |
达州市通川区农业局 |
刘丽 |
2007级 |
英国365上市公司 |
王振宇 |
2007级 |
辽宁科技公司生物医药与化学工程公司 |
裴亮 |
2006级 |
成都华高药业有限公司 |
陈平 |
2005级 |
雅安市公安局名山区分局 |
杨菲 |
2005级 |
重庆特品化工有限公司 |
杨洲平 |
2004级 |
英国365上市公司 |